#!/usr/bin/env python # coding: utf-8 # In[1]: from IPython.display import Image Image('../../Python_probability_statistics_machine_learning_2E.png',width=200) # The Bernoulli distribution we studied earlier answers the question of which of # two outcomes ($Y \in \lbrace 0,1 \rbrace$) would be selected with probability, $p$. # $$ # \mathbb{P}(Y) = p^Y (1-p)^{ 1-Y } # $$ # We also know how to solve the corresponding likelihood function for # the maximum likelihood estimate of $p$ given observations of the output, # $\lbrace Y_i \rbrace_{i=1}^n$. However, now we want to include other factors in # our estimate of $p$. For example, suppose we observe not just the outcomes, but # a corresponding continuous variable, $x$. That is, the observed data is now # $\lbrace (x_i,Y_i) \rbrace_{i=1}^n$ How can we incorporate $x$ into our # estimation of $p$? # # The most straightforward idea is to model $p= a x + b$ where $a,b$ are # parameters of a fitted line. However, because $p$ is a probability with value # bounded between zero and one, we need to wrap this estimate in another function # that can map the entire real line into the $[0,1]$ interval. The logistic # (a.k.a. sigmoid) function has this property, # $$ # \theta(s) = \frac{e^s}{1+e^s} # $$ # Thus, the new parameterized estimate for $p$ is the following, # #
# # $$ # \begin{equation} # \hat{p} = \theta(a x+b)= \frac{e^{a x + b}}{1+e^{a x + b}} # \label{eq:prob} \tag{1} # \end{equation} # $$ # The *logit* function is defined as the following, # $$ # \texttt{logit}(t)= \log \frac{t}{1-t} # $$ # It has the important property of extracting the regression components # from the probability estimator, # $$ # \texttt{logit}(p) = b + a x # $$ # More continuous variables can be accommodated easily as # $$ # \texttt{logit}(p) = b + \sum_k a_k x_k # $$ # This can be further extended beyond the binary case to multiple # target labels. The maximum likelihood estimate of this uses # numerical optimization methods that are implemented in Scikit-learn. # # Let's construct some data to see how this works. In the following, we assign # class labels to a set of randomly scattered points in the two-dimensional # plane, # In[2]: get_ipython().run_line_magic('matplotlib', 'inline') import numpy as np from matplotlib.pylab import subplots v = 0.9 @np.vectorize def gen_y(x): if x<5: return np.random.choice([0,1],p=[v,1-v]) else: return np.random.choice([0,1],p=[1-v,v]) xi = np.sort(np.random.rand(500)*10) yi = gen_y(xi) # **Programming Tip.** # # The `np.vectorize` decorator used in the code above makes it easy to avoid # looping in code that uses Numpy arrays by embedding the looping semantics # inside of the so-decorated function. Note, however, that this does not # necessarily accelerate the wrapped function. It's mainly for convenience. # # # # [Figure](#fig:logreg_001) shows a scatter plot of the data we constructed in # the above code, $\lbrace (x_i,Y_i) \rbrace$. As constructed, it is more # likely that large values of $x$ correspond to $Y=1$. On the other hand, values # of $x \in [4,6]$ of either category are heavily overlapped. This means that $x$ # is not a particularly strong indicator of $Y$ in this region. [Figure](#fig:logreg_002) shows the fitted logistic regression curve against the same # data. The points along the curve are the probabilities that each point lies in # either of the two categories. For large values of $x$ the curve is near one, # meaning that the probability that the associated $Y$ value is equal to one. On # the other extreme, small values of $x$ mean that this probability is close to # zero. Because there are only two possible categories, this means that the # probability of $Y=0$ is thereby higher. The region in the middle corresponding # to the middle probabilities reflect the ambiguity between the two catagories # because of the overlap in the data for this region. Thus, logistic regression # cannot make a strong case for one category here. # The following code fits the logistic regression model, # In[3]: fig,ax=subplots() _=ax.plot(xi,yi,'o',color='gray',alpha=.3) _=ax.axis(ymax=1.1,ymin=-0.1) _=ax.set_xlabel(r'$X$',fontsize=22) _=ax.set_ylabel(r'$Y$',fontsize=22) fig.savefig('fig-machine_learning/logreg_001.png') # In[4]: from sklearn.linear_model import LogisticRegression lr = LogisticRegression() lr.fit(np.c_[xi],yi) # In[5]: fig,ax=subplots() xii=np.linspace(0,10,20) _=ax.plot(xii,lr.predict_proba(np.c_[xii])[:,1],'k-',lw=3) _=ax.plot(xi,yi,'o',color='gray',alpha=.3) _=ax.axis(ymax=1.1,ymin=-0.1) _=ax.set_xlabel(r'$x$',fontsize=20) _=ax.set_ylabel(r'$\mathbb{P}(Y)$',fontsize=20) fig.savefig('fig-machine_learning/logreg_002.png') # # #
# #

This scatterplot shows the binary $Y$ variables and the corresponding $x$ data for each category.

# # # # # # # #
# #

This shows the fitted logistic regression on the data shown in [Figure](#fig:logreg_001). The points along the curve are the probabilities that each point lies in either of the two categories.

# # # # # # For a deeper understanding of logistic regression, we need to alter our # notation slightly and once again use our projection methods. More generally we # can rewrite Equation ([1](#eq:prob)) as the following, # #
# # $$ # \begin{equation} # p(\mathbf{x}) = \frac{1}{1+\exp(-\boldsymbol{\beta}^T \mathbf{x})} # \label{eq:probbeta} \tag{2} # \end{equation} # $$ # where $\boldsymbol{\beta}, \mathbf{x}\in \mathbb{R}^n$. From our # prior work on projection we know that the signed perpendicular distance between # $\mathbf{x}$ and the linear boundary described by $\boldsymbol{\beta}$ is # $\boldsymbol{\beta}^T \mathbf{x}/\Vert\boldsymbol{\beta}\Vert$. This means # that the probability that is assigned to any point in $\mathbb{R}^n$ is a # function of how close that point is to the linear boundary described by the # following equation, # $$ # \boldsymbol{\beta}^T \mathbf{x} = 0 # $$ # But there is something subtle hiding here. Note that # for any $\alpha\in\mathbb{R}$, # $$ # \alpha\boldsymbol{\beta}^T \mathbf{x} = 0 # $$ # describes the *same* hyperplane. This means that we can multiply # $\boldsymbol{\beta}$ by an arbitrary scalar and still get the same geometry. # However, because of $\exp(-\alpha\boldsymbol{\beta}^T \mathbf{x})$ in Equation # ([2](#eq:probbeta)), this scaling determines the intensity of the probability # attributed to $\mathbf{x}$. This is illustrated in [Figure](#fig:logreg_003). # The panel on the left shows two categories (squares/circles) split by the # dotted line that is determined by $\boldsymbol{\beta}^T\mathbf{x}=0$. The # background colors show the probabilities assigned to points in the plane. The # right panel shows that by scaling with $\alpha$, we can increase the # probabilities of class membership for the given points, given the exact same # geometry. The points near the boundary have lower probabilities because they # could easily be on the opposite side. However, by scaling by $\alpha$, we can # raise those probabilities to any desired level at the cost of driving the # points further from the boundary closer to one. Why is this a problem? By # driving the probabilities arbitrarily using $\alpha$, we can overemphasize the # training set at the cost of out-of-sample data. That is, we may wind up # insisting on emphatic class membership of yet unseen points that are close to # the boundary that otherwise would have more equivocal probabilities (say, near # $1/2$). Once again, this is another manifestation of bias/variance trade-off. # # # #
# #

Scaling can arbitrarily increase the probabilities of points near the decision boundary.

# # # # # # Regularization is a method that controls this effect by penalizing the size of # $\beta$ as part of its solution. Algorithmically, logistic regression works by # iteratively solving a sequence of weighted least squares problems. Regression # adds a $\Vert\boldsymbol{\beta}\Vert/C$ term to the least squares error. To see # this in action, let's create some data from a logistic regression and see if we # can recover it using Scikit-learn. Let's start with a scatter of points in the # two-dimensional plane, # In[6]: x0,x1=np.random.rand(2,20)*6-3 X = np.c_[x0,x1,x1*0+1] # stack as columns # Note that `X` has a third column of all ones. This is a # trick to allow the corresponding line to be offset from the origin # in the two-dimensional plane. Next, we create a linear boundary # and assign the class probabilities according to proximity to the # boundary. # In[7]: beta = np.array([1,-1,1]) # last coordinate for affine offset prd = X.dot(beta) probs = 1/(1+np.exp(-prd/np.linalg.norm(beta))) c = (prd>0) # boolean array class labels # This establishes the training data. The next block # creates the logistic regression object and fits the data. # In[8]: lr = LogisticRegression() _=lr.fit(X[:,:-1],c) # Note that we have to omit the third dimension because of # how Scikit-learn internally breaks down the components of the # boundary. The resulting code extracts the corresponding # $\boldsymbol{\beta}$ from the `LogisticRegression` object. # In[9]: betah = np.r_[lr.coef_.flat,lr.intercept_] # **Programming Tip.** # # The Numpy `np.r_` object provides a quick way to stack Numpy # arrays horizontally instead of using `np.hstack`. # # # # The resulting boundary is shown in the left panel in [Figure](#fig:logreg_004). The crosses and triangles represent the two classes we # created above, along with the separating gray line. The logistic regression # fit produces the dotted black line. The dark circle is the point that logistic # regression categorizes incorrectly. The regularization parameter is $C=1$ by # default. Next, we can change the strength of the regularization parameter as in # the following, # In[10]: lr = LogisticRegression(C=1000) # and the re-fit the data to produce the right panel in # [Figure](#fig:logreg_004). By increasing the regularization # parameter, we essentially nudged the fitting algorithm to # *believe* the data more than the general model. That is, by doing # this we accepted more variance in exchange for better bias. # # # #
# #

The left panel shows the resulting boundary (dashed line) with $C=1$ as the regularization parameter. The right panel is for $C=1000$. The gray line is the boundary used to assign the class membership for the synthetic data. The dark circle is the point that logistic regression categorizes incorrectly.

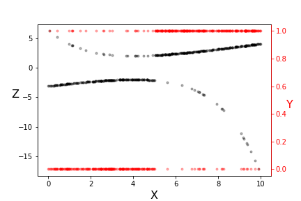
# # # # # # # ### Maximum Likelihood Estimation for Logistic Regression # # Let us again consider the binary classification problem. We define $y_k = # \mathbb{P}(C_1\vert \mathbf{x}_k)$, the conditional probability of the data as # a member of given class. Our construction of this problem provides # $$ # y_k = \theta([\mathbf{w},w_0] \cdot [\mathbf{x}_k,1]) # $$ # where $\theta$ is the logistic function. Recall that there are only # two classes for this problem. The data set looks like the following, # $$ # \lbrace(\mathbf{x}_0,r_0),\ldots,(\mathbf{x}_k,r_k),\ldots,(\mathbf{x}_{n-1},r_{n-1})\rbrace # $$ # where $r_k\in \lbrace 0,1 \rbrace$. For example, we could have the # following sequence of observed classes, # $$ # \lbrace C_0,C_1,C_1,C_0,C_1 \rbrace # $$ # For this case the likelihood is then the following, # $$ # \ell= \mathbb{P}(C_0\vert\mathbf{x}_0)\mathbb{P}(C_1\vert\mathbf{x}_1)\mathbb{P}(C_1\vert\mathbf{x}_1) \mathbb{P}(C_0\vert\mathbf{x}_0)\mathbb{P}(C_1\vert\mathbf{x}_1) # $$ # which we can rewrite as the following, # $$ # \ell(\mathbf{w},w_0)= (1-y_0) y_1 y_2 (1-y_3) y_4 # $$ # Recall that there are two mutually exhaustive classes. More # generally, this can be written as the following, # $$ # \ell(\mathbf{w}\vert\mathcal{X})=\prod_k^n y_k^{r_k} (1-y_k)^{1-r_k} # $$ # Naturally, we want to compute the logarithm of this as the cross-entropy, # $$ # E = -\sum_k r_k \log(y_k) + (1-r_k)\log(1-y_k) # $$ # and then minimize this to find $\mathbf{w}$ and $w_0$. This is # difficult to do with calculus because the derivatives have non-linear terms in # them that are hard to solve for. # # ### Multi-Class Logistic Regression Using Softmax # # The logistic regression problem provides a solution for the probability # between exactly two alternative classes. To extend to the multi-class # problem, we need the *softmax* function. Consider the likelihood # ratio between the $i^{th}$ class and the reference class, $\mathcal{C}_k$, # $$ # \log\frac{p(\mathbf{x}\vert \mathcal{C}_i)}{p(\mathbf{x}\vert\mathcal{C}_k)} = \mathbf{w}_i^T \mathbf{x} # $$ # Taking the exponential of this and normalizing across all # the classes gives the softmax function, # $$ # y_i=p(\mathcal{C}_i \vert\mathbf{x})=\frac{\exp\left(\mathbf{w}_i^T\mathbf{x}\right)}{\sum_k \exp\left( \mathbf{w}_k^T \mathbf{x}\right)} # $$ # Note that $\sum_i y_i=1$. If the $\mathbf{w}_i^T \mathbf{x}$ term is # larger than the others, after the exponentiation and normalization, it # automatically suppresses the other $y_j \forall j \neq i$, which acts like the # maximum function, except this function is differentiable, hence *soft*, as in # *softmax*. While that is all straightforward, the trick is deriving the # $\mathbf{w}_i$ vectors from the training data $\lbrace\mathbf{x}_i,y_i\rbrace$. # # Once again, the launching point is the likelihood function. As with the # two-class logistic regression problem, we have the likelihood as the following, # $$ # \ell = \prod_k \prod_i (y_i^k)^{r_i^k} # $$ # The log-likelihood of this is the same as the cross-entropy, # $$ # E = - \sum_k \sum_i r_i^k \log y_i^k # $$ # This is the error function we want to minimize. The computation works # as before with logistic regression, except there are more derivatives to keep # track of in this case. # # ### Understanding Logistic Regression # # To generalize this technique beyond logistic regression, we need to re-think # the problem more abstractly as the data set $\lbrace x_i, y_i \rbrace$. We # have the $y_i \in \lbrace 0,1 \rbrace$ data modeled as Bernoulli random # variables. We also have the $x_i$ data associated with each $y_i$, but it is # not clear how to exploit this association. What we would like is to construct # $\mathbb{E}(Y|X)$ which we already know (see [ch:prob](#ch:prob)) is the # best MSE estimator. For this problem, we have # $$ # \mathbb{E}(Y|X) =\mathbb{P}(Y|X) # $$ # because only $Y=1$ is nonzero in the summation. Regardless, we # don't have the conditional probabilities anyway. One way to look at # logistic regression is as a way to build in the functional relationship # between $y_i$ and $x_i$. The simplest thing we could do is # approximate, # $$ # \mathbb{E}(Y|X) \approx \beta_0 + \beta_1 x := \eta(x) # $$ # If this is the model, then the target would be the $y_i$ data. We can # force the output of this linear regression into the interval $[0,1]$ by composing # it with a sigmoidal function, # $$ # \theta(x) = \frac{1}{1+\exp(-x)} # $$ # Then we have a new function $\theta(\eta(x))$ to match against $y_i$ using # $$ # J(\beta_0,\beta_1) = \sum_i (\theta(\eta(x_i))-y_i)^2 # $$ # This is a nice setup for an optimization problem. We could certainly # solve this numerically using `scipy.optimize`. Unfortunately, this would take # us into the black box of the optimization algorithm where we would lose all of # our intuitions and experience with linear regression. We can take the opposite # approach. Instead of trying to squash the output of the linear estimator into # the desired domain, we can map the $y_i$ data into the unbounded space of the # linear estimator. Thus, we define the inverse of the above $\theta$ function as # the *link* function. # $$ # g(y) = \log \left( \frac{y}{1-y} \right) # $$ # This means that our approximation to the # unknown conditional expectation is the following, # $$ # g(\mathbb{E}(Y|X)) \approx \beta_0 + \beta_1 x := \eta(x) # $$ # We cannot apply this directly to the $y_i$, so we compute the Taylor # series expansion centered on $\mathbb{E}(Y|X)$, up to the linear term, to obtain the # following, # $$ # \begin{align*} # g(Y) & \approx & g(\mathbb{E}(Y|X)) + (Y-\mathbb{E}(Y|X)) g'(\mathbb{E}(Y|X)) \\ # & \approx & \eta(x) + (Y-\theta(\eta(x))) g'(\theta(\eta(x))) := z # \end{align*} # $$ # Because we do not know the conditional expectation, we replaced these # terms with our earlier $\theta(\eta(x))$ function. This new approximation # defines our transformed data that we will use to feed the linear model. Note # that the $\beta$ parameters are embedded in this transformation. The # $(Y-\theta(\eta(x)))$ term acts as the usual additive noise term. Also, # $$ # g'(x) = \frac{1}{x(1-x)} # $$ # The following code applies this transformation to the `xi,yi` data # In[11]: import numpy as np v = 0.9 @np.vectorize def gen_y(x): if x<5: return np.random.choice([0,1],p=[v,1-v]) else: return np.random.choice([0,1],p=[1-v,v]) xi = np.sort(np.random.rand(500)*10) yi = gen_y(xi) # In[12]: b0, b1 = -2,0.5 g = lambda x: np.log(x/(1-x)) theta = lambda x: 1/(1+np.exp(-x)) eta = lambda x: b0 + b1*x theta_ = theta(eta(xi)) z=eta(xi)+(yi-theta_)/(theta_*(1-theta_)) # In[13]: from matplotlib.pylab import subplots fig,ax=subplots() _=ax.plot(xi,z,'k.',alpha=.3) _=ax2 = ax.twinx() _=ax2.plot(xi,yi,'.r',alpha=.3) _=ax2.set_ylabel('Y',fontsize=16,rotation=0,color='r') _=ax2.spines['right'].set_color('red') _=ax.set_xlabel('X',fontsize=16) _=ax.set_ylabel('Z',fontsize=16,rotation=0) _=ax2.tick_params(axis='y', colors='red') fig.savefig('fig-machine_learning/glm_001.png') # # #
# #

The transformation underlying logistic regression.

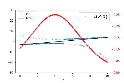
# # # # # # Note the two vertical scales shown in [Figure](#fig:glm_001). The red scale on the # right is the $\lbrace 0,1 \rbrace$ domain of the $y_i$ data (red dots) and the # left scale is transformed $z_i$ data (black dots). Note that the transformed # data is more linear where the original data is less equivocal at the extremes. # Also, this transformation used a specific pair of $\beta_i$ parameters. The # idea is to iterate over this transformation and derive new $\beta_i$ # parameters. With this approach, we have # $$ # \mathbb{V}(Z|X) = (g')^2 \mathbb{V}(Y|X) # $$ # Recall that, for this binary variable, we have # $$ # \mathbb{P}(Y|X) = \theta(\eta(x))) # $$ # Thus, # $$ # \mathbb{V}(Y|X) = \theta(\eta(x)) (1-\theta(\eta(x))) # $$ # from which we obtain # $$ # \mathbb{V}(Z|X) = \left[ \theta(\eta(x))(1-\theta(\eta(x))) \right]^{-1} # $$ # The important fact here is the variance is a function of the $X$ # (i.e., heteroskedastic). As we discussed with Gauss-Markov, the appropriate # linear regression is weighted least-squares where the weights at each data # point are inversely proportional to the variance. This ensures that the # regression process accounts for this heteroskedasticity. Numpy has a weighted # least squares implemented in the `polyfit` function, # In[14]: w=(theta_*(1-theta_)) p=np.polyfit(xi,z,1,w=np.sqrt(w)) # The output of this fit is shown in [Figure](#fig:glm_002), along # with the raw data and $\mathbb{V}(Z|X)$ for this particular fitted $\beta_i$. # Iterating a few more times refines the estimated line but it does not take many # such iterations to converge. As indicated by the variance line, the fitted line # favors the data at either extreme. # In[15]: fig,ax=subplots() ax2 = ax.twinx() theta_ = theta(eta(xi)) _=ax.plot(xi, z, '.',alpha=.3, label='z' ); _=ax.axis(ymax=30,ymin=-30); _=ax2.plot(xi,theta_*(1-theta_),'.r',alpha=.3,label='$\mathbb{V}(Z|X)$'); _=ax2.axis(ymax=0.27,ymin=0); p=np.polyfit(xi,z,1,w=np.sqrt(w)); _=ax.plot(xi,np.polyval(p,xi),'k',label='fitted'); _=ax2.legend(fontsize=16); _=ax.legend(loc=2); _=ax.set_xlabel('X'); _=ax2.tick_params(axis='y', colors='red'); fig.savefig('fig-machine_learning/glm_002.png'); # # #
# #

The output of the weighted least squares fit is shown, along with the raw data and $\mathbb{V}(Z|X)$.

# # #